In the world of construction, the bond between mortar and substrate is a critical factor that can make or break a project. Yet, the methods used to evaluate this adhesion have long been plagued by variability, leading to inconsistent results and potential inefficiencies. A recent study published in the *Revista IBRACON de Estruturas e Materiais* (IBRACON Journal of Structures and Materials) offers a promising solution to this longstanding challenge.
Leonardo Himmer Vieira, the lead author of the study, has developed an alternative methodology that significantly reduces the variability in tensile and shear adhesion evaluations for rendering mortar. This innovation could have profound implications for the construction industry, particularly in the energy sector where the integrity of building envelopes is paramount.
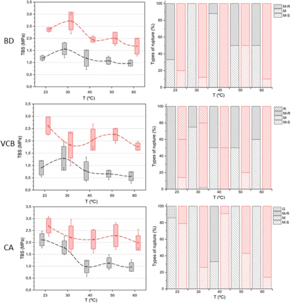
The study focuses on a 1:1:6 mortar mixture (by volume) of cement, lime, and medium sand, applied to a ceramic substrate. The new method, which involves a specially designed testing device, demonstrated a 39% reduction in result variability when using spatterdash and a 31% increase in bond strength without spatterdash at 28 days. “This reduction in variability indicates that our method mitigates the influence of external factors inherent to the testing process,” Vieira explains. “It’s a significant step forward in ensuring the reliability of adhesion tests.”
The apparatus required for this alternative method is not only easy to produce but also user-friendly, making it an efficient option for laboratory testing. This ease of use could accelerate adoption in commercial settings, where consistent and reliable data is crucial for quality control and project planning.
The implications for the energy sector are particularly noteworthy. In buildings where energy efficiency is a priority, the adhesion between mortar and substrate plays a vital role in maintaining the integrity of the building envelope. Poor adhesion can lead to thermal bridging, moisture infiltration, and ultimately, increased energy consumption. By providing a more accurate and reliable method for evaluating adhesion, Vieira’s research could help construction professionals design and build more energy-efficient structures.
Moreover, the reduced variability in test results could lead to more consistent performance in the field, reducing the likelihood of costly repairs and renovations. “Our method offers a more precise way to evaluate adhesion, which can translate to better performance in real-world applications,” Vieira notes. “This could ultimately lead to more durable and energy-efficient buildings.”
The study’s findings were published in the *Revista IBRACON de Estruturas e Materiais*, a respected journal in the field of structural engineering and materials science. The journal’s focus on innovative research and practical applications makes it an ideal platform for disseminating Vieira’s groundbreaking work.
As the construction industry continues to evolve, the need for reliable and efficient testing methods becomes ever more critical. Vieira’s research offers a promising solution to a longstanding challenge, paving the way for more accurate adhesion evaluations and, ultimately, more durable and energy-efficient buildings. The commercial impacts of this research could be far-reaching, influencing everything from residential construction to large-scale industrial projects. As the industry continues to prioritize sustainability and efficiency, Vieira’s work serves as a reminder of the power of innovation in driving progress.

