In the heart of Morocco, researchers are tapping into an unexpected ally in the fight against corrosion: cannabis. A recent study led by Said Sair from the Laboratory of Inorganic Materials for Sustainable Energy Technologies at Mohammed VI Polytechnic University (UM6P) has unveiled the potential of Cannabis Sativa L Extract (CSLE) as a sustainable corrosion inhibitor for mild steel in harsh acidic environments. This research, published in Corrosion Communications, could have significant implications for the energy sector, particularly in protecting infrastructure from corrosion.
Corrosion is a pervasive issue, costing industries billions annually. In the energy sector, mild steel is widely used in pipelines, storage tanks, and other infrastructure, often exposed to corrosive environments. Traditional corrosion inhibitors, while effective, can be toxic and environmentally harmful. The search for sustainable alternatives has been ongoing, and Sair’s research offers a promising solution.
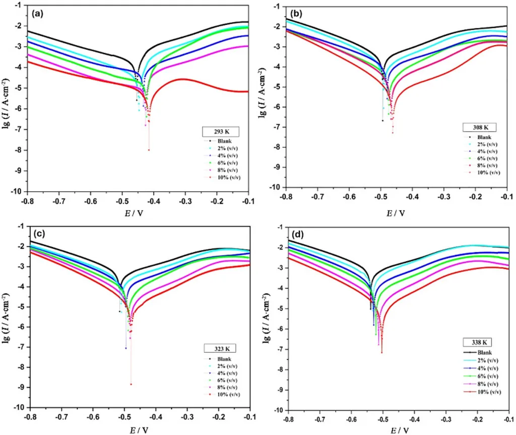
The study investigated the impact of CSLE on the electrochemical characteristics of mild steel immersed in a highly corrosive 1 mol/L HCl solution. Using potentiodynamic polarization (PDP) and electrochemical impedance spectroscopy (EIS) techniques, the researchers found that as the concentration of CSLE increased, so did its corrosion inhibition efficiency. At a 10% (v/v) concentration, the inhibitory efficiency reached an impressive 96.68%.
“This is a significant finding,” said Sair. “The high efficiency of CSLE as a corrosion inhibitor opens up new possibilities for sustainable and eco-friendly solutions in the energy sector.”
The research also explored the extract’s efficacy across a range of temperatures, from 293 to 338 K. The findings suggested that the inhibitory action is due to the formation of a mono-layer barrier film on the steel’s surface, following the Langmuir isotherm. This barrier film acts as a shield, protecting the steel from the corrosive environment.
To understand the underlying mechanisms, the researchers employed the density functional theory (DFT) method. This approach provided insights into the electronic interactions between the CSLE and the steel surface, further elucidating the corrosion inhibition process.
The study also calculated and discussed corrosion kinetics and thermodynamic parameters, providing a comprehensive understanding of the corrosion inhibition phenomenon. These findings could pave the way for the development of new, sustainable corrosion inhibitors based on natural extracts.
The potential commercial impacts of this research are substantial. In the energy sector, where infrastructure is often exposed to harsh, corrosive environments, a sustainable and effective corrosion inhibitor could significantly reduce maintenance costs and extend the lifespan of equipment. Moreover, the use of a natural, plant-based extract aligns with the growing trend towards sustainability and eco-friendly practices in industry.
As the world grapples with the challenges of climate change and environmental degradation, research like Sair’s offers a glimmer of hope. By harnessing the power of nature, we can develop innovative solutions that are not only effective but also sustainable. This research, published in Corrosion Communications, could shape the future of corrosion inhibition, paving the way for a more sustainable energy sector.
In the words of Sair, “This is just the beginning. There is still much to explore and understand, but the potential is immense.” As we look to the future, the humble cannabis plant may well play a significant role in protecting our infrastructure and preserving our planet.

